发现学识
等你来答
投稿专栏
新华字典
文学
赟字怎么读?
2022-12-08
辫字的组词有哪些?
2022-12-07
四什么八什么的四字成语有哪些?
2022-12-06
庹怎么读,庹字读音?
2022-12-03
黑云压城城欲摧下一句是什么?
2022-12-02
苏轼最有名的十首诗词
2022-11-29
关于诚信的名言名句推荐
2022-11-28
aabc的四字词语有哪些?
2022-11-25
馔字怎么读?
2022-11-21
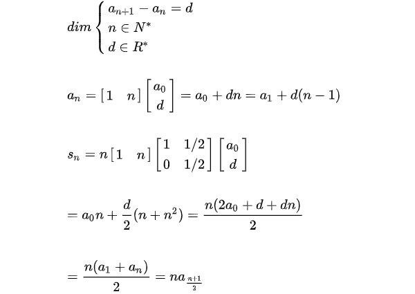
等差数列求和公式
2022-11-18
肥水不流外人田的出处是?
2022-11-16
又什么又什么组词词语有哪些?
2022-11-14
上一页
5
下一页