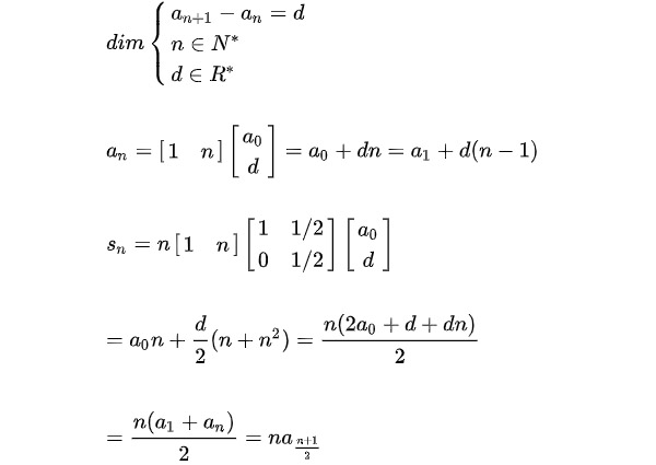
等差数列{an}的通项公式为:an=a1+(n-1)d。前n项和公式为:Sn=n*a1+n(n-1)d/2或Sn=n(a1+an)/2。等差数列是常见数列的一种,可以用AP表示,如果一个数列从第二项起,每一项与它的前一项的差等于同一个常数,这个数列就叫做等差数列,而这个常数叫做等差数列的公差,公差常用字母d表示。

等差数列求和公式有:①等差数列公式an=a1+(n-1)d、②前n项和公式为:Sn=na1+n(n-1)d/2、③若公差d=1时:Sn=(a1+an)n/2、④若m+n=p+q则:存在am+an=ap+aq、⑤若m+n=2p则:am+an=2ap,以上n均为正整数。
等差数列基本公式
末项=首项+(项数-1)×公差
项数=(末项-首项)÷公差+1
首项=末项-(项数-1)×公差
和=(首项+末项)×项数÷2
末项:最后一位数
首项:第一位数
项数:一共有几位数
和:求一共数的总和
本回答由学识网回答