发现学识
等你来答
投稿专栏
新华字典
文学
打破砂锅问到底是什么意思?
2023-02-08
我国第一部编年体史书是什么?
2023-02-06
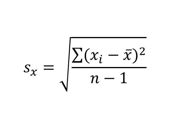
什么是标准差?
2023-02-03
abac的四字词语有哪些?
2023-02-02
登泰山记原文及翻译
2023-01-30
abcc的四字词语有哪些?
2023-01-28
梅妻鹤子说的是谁的典故?
2023-01-07
鸡兔同笼解题方法?
2023-01-04
坐井观天的故事告诉我们是什么道理?
2022-12-17
静音的意思?
2022-12-14
鱼我所欲也原文及翻译
2022-12-14
七什么八什么的四字成语有哪些?
2022-12-09
上一页
4
下一页