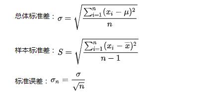
标准差(Standard Deviation),数学术语,是离均差平方的算术平均数(即:方差)的算术平方根,用σ表示。标准差也被称为标准偏差,或者实验标准差,在概率统计中最常使用作为统计分布程度上的测量依据。
标准差是方差的算术平方根。标准差能反映一个数据集的离散程度。平均数相同的两组数据,标准差未必相同。

与方差的关系:方差=标准差的平方。
在实验中单次测量总是难免会产生误差,为此我们经常测量多次,然后用测量值的平均值表示测量的量,并用误差条来表征数据的分布,其中误差条的高度为±标准误差。这里即标准差。

其中,指数据的平均数。
所有数减去其平均值的平方和,所得结果除以该组数之个数(或个数减一,即变异数),再把所得值开根号,所得之数就是这组数据的标准差。
深蓝区域是距平均值一个标准差之内的数值范围。在正态分布中,此范围所占比率为全部数值(即1)之68.2%。对于正态分布,两个标准差之内(深蓝,蓝)的比率合起来为95.4%。对于正态分布,正负三个标准差之内(深蓝,蓝,浅蓝)的比率合起来为99.6%。
由于标准差的这个性质,因此得出了三西格玛准则(three-siegmaσ-guideline)
本回答由学识网回答