正态分布(Normal distribution),也称“常态分布”,又名高斯分布(Gaussian distribution),最早由棣莫弗(Abraham de Moivre)在求二项分布的渐近公式中得到。C.F.高斯在研究测量误差时从另一个角度导出了它。P.S.拉普拉斯和高斯研究了它的性质。是一个在数学、物理及工程等领域都非常重要的概率分布,在统计学的许多方面有着重大的影响力。
正态曲线呈钟型,两头低,中间高,左右对称因其曲线呈钟形,因此人们又经常称之为钟形曲线。
若随机变量X服从一个数学期望为μ、方差为σ^2的正态分布,记为N(μ,σ^2)。其概率密度函数为正态分布的期望值μ决定了其位置,其标准差σ决定了分布的幅度。当μ = 0,σ = 1时的正态分布是标准正态分布。
由于一般的正态总体其图像不一定关于y轴对称,对于任一正态总体,其取值小于x的概率。只要会用它求正态总体在某个特定区间的概率即可。
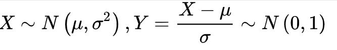
为了便于描述和应用,常将正态变量作数据转换。将一般正态分布转化成标准正态分布
若
服从标准正态分布,通过查标准正态分布表就可以直接计算出原正态分布的概率值。故该变换被称为标准化变换。(标准正态分布表:标准正态分布表中列出了标准正态曲线下从-∞到X(当前值)范围内的面积比例。)
本回答由学识网回答